分子标签靶向捕获分析适用于多种应用场景,如:利用肿瘤病人血浆游离核酸进行肿瘤突变位点的检测,利用怀孕母体血浆游离核酸进行胎儿单基因遗传病的检测,利用尿液游离核酸进行相关突变位点的检测,利用石蜡样本进行肿瘤突变位点的检测,以及利用血液基因组 DNA 进行血液肿瘤微小残余病灶的检测等。
|
文库构建 |
封阻序列 |
靶向捕获 |
测序平台 |
|
定制 panels |
MGISEQ / DNBSEQ™ |
||
|
定制 panels |
Illumina |
相关产品仅限研究使用,不用于临床诊断。
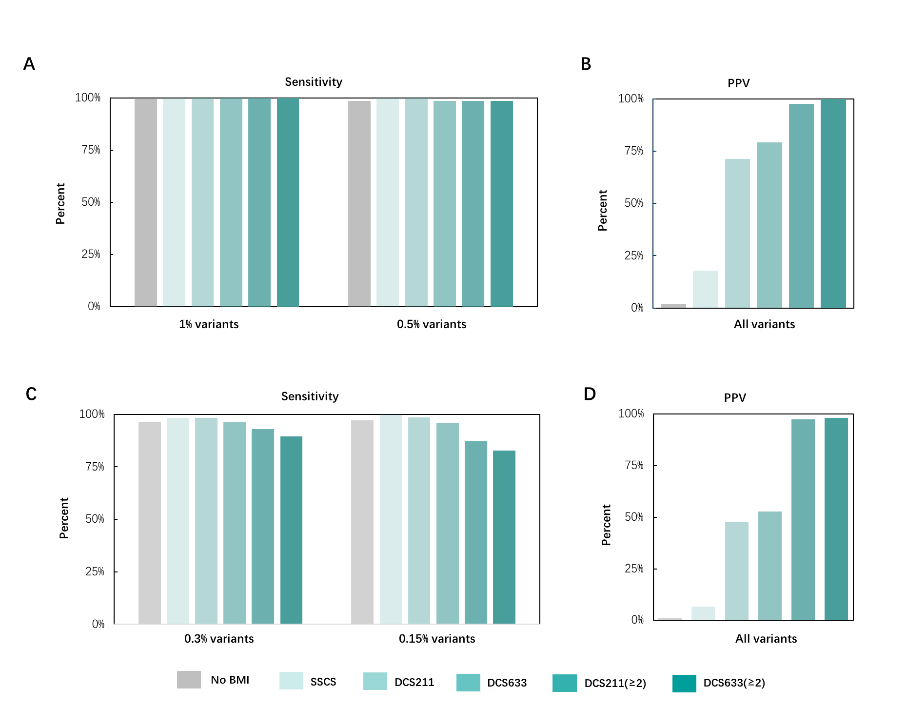
来源于 2 个健康捐献者的血浆游离 DNA 分别以 1% 和 0.3% 比例混合,用于模拟游离血浆 DNA 中低频突变位点的检测,文库制备总投入量分别为 10 ng 和 25 ng;针对已知 SNP 位点设计捕获 panel(图1)。通过 MGISEQ-2000 测序平台测序后,利用双端分子标签(Bi-molecular Identifer, BMI),在不同分析与过滤方法下进行低频突变分析(表1)。
图 1. 低频突变模拟模型。
表 1. 分析与过滤方法
分析模式
详情
No BMI
根据片段在基因组上比对的起始、终止位点去除重复。
SSCS
利用单链分子标签进行一致性分析(Call Molecular Consensus Reads),形成单链一致性序列(Single Strand Consensus Sequences, SSCS)。
DCS211
利用双链分子标签,即互补链(Top / Bottom)分子标签进行一致性分析,形成双链一致性序列(Duplex Consensus Sequences, DCS),且Top与Bottom Reads均 ≥ 1。
DCS633
利用双链分子标签,即互补链(Top / Bottom)分子标签进行一致性分析,形成 DCS,且 Top 与 Bottom Reads 均 ≥ 3。
DCS211 (≥ 2)
在 DCS211 的基础上,支持该突变的 DCS 一致性序列 ≥ 2。
DCS633 (≥ 2)
在 DCS633 的基础上,支持该突变的 DCS 一致性序列 ≥ 2。
图 2. 不同分析模式对于 1% 和 0.5% 模拟突变位点的 A. 灵敏度与 B. 阳性预测值;不同分析模式对于 0.3% 和 0.15% 模拟突变位点的 C. 灵敏度与 D. 阳性预测值。
更多详情请参考 NadPrep®️ 血浆游离 DNA 双端分子标签文库构建试剂盒(for MGI)相关产品表现。
标准品分析示例
表 2. NanOnCT Panel v1.0 结合双端分子标签对 ctDNA 标准品的分析
|
Variants |
MGISEQ-2000 |
|
|
SSCS |
DCS211 |
|
|
EGFR_L858R |
0.75% |
0.82% |
|
EGFR_T790M |
1.29% |
1.38% |
|
EGFR_delE746_A750 |
0.93% |
1.04% |
|
PIK3CA_E545K |
0.92% |
0.8% |
|
KRAS_G12D |
0.57% |
0.71% |
|
KRAS_A146T |
1.01% |
0.67% |
|
NRAS_Q61K |
1.31% |
0.89% |
|
EGFR_insV769_D770 |
1.37% |
1.3% |
注:标准品为肺癌 ctDNA 标准品套装,1% AF(菁良,GW-OCTM009),利用 NadPrep®️ 系列双端分子标签文库构建试剂盒建库,NanOnCT Panel v1.0 对目标区域进行靶向富集,平均原始测序深度 ~ 30,000 x。
DCS211:Duplex consensus sequence,双链一致性序列;
SSCS:Single strand consensus sequence,单链一致性序列。
来源于 2 个健康捐献者的血浆游离 DNA 以 1% 比例混合,用于模拟游离血浆 DNA 中低频突变位点的检测,文库制备总投入量为 10 ng;针对已知 SNP 位点设计捕获 panel(图3)。通过 Illumina HiSeq X,
PE150 平台测序后,利用双端分子标签(UMI),在不同分析与过滤方法下进行低频突变分析(表3)。
图 3. 低频突变模拟模型。来源于2个健康捐献者的 cfDNA 以 1% 比例混合,文库制备总投入量为 10 ng。1% 及 0.5% 模拟突变位点数量统计如右表所示。
表 3. 分析与过滤方法
|
分析模式 |
详情 |
|
No UMI |
根据片段在基因组上比对的起始、终止位点去除重复。 |
|
SSCS |
利用单链分子标签进行一致性分析(Call Molecular Consensus Reads),形成单链一致性序列(Single Strand Consensus Sequences, SSCS)。 |
|
DCS211 |
利用双链分子标签,即互补链(Top / Bottom)分子标签进行一致性分析,形成双链一致性序列(Duplex Consensus Sequences, DCS),且Top与Bottom Reads均 ≥ 1。 |
|
DCS633 |
利用双链分子标签,即互补链(Top / Bottom)分子标签进行一致性分析,形成 DCS,且 Top 与 Bottom Reads 均 ≥ 3。 |
|
DCS211 (≥ 2) |
在 DCS211 的基础上,支持该突变的 DCS 一致性序列 ≥ 2。 |
|
DCS633 (≥ 2) |
在 DCS633 的基础上,支持该突变的 DCS 一致性序列 ≥ 2。 |
图 4. 1% 与 0.5% 模拟突变位点的频率估算。
图 5. 不同分析模式对背景噪音的过滤。
图 6. 1% 和 0.5% 模拟突变位点在不同分析模式下的灵敏度(A)与阳性预测值(B)。