NadPrep® DNA Methyl Bisulfite Conversion Module 是基于亚硫酸氢盐转化原理针对 DNA 样本开发的甲基化转化试剂。该转化 模块基于磁珠纯化的方案可在 2 hr 内将未甲基化的胞嘧啶高效转化为尿嘧啶,且利于自动化开展;同时可衔接纳昂达 NadPrep® 双链 甲基化文库构建方案和 NadPrep® 单链甲基化文库构建方案,支持在多种类型的起始样本中灵活选择。

*接头连接产物示意图以 NadPrep® Methyl Stubby Adapter (UDI) 为例。
产品特色
文库产出及转化效率

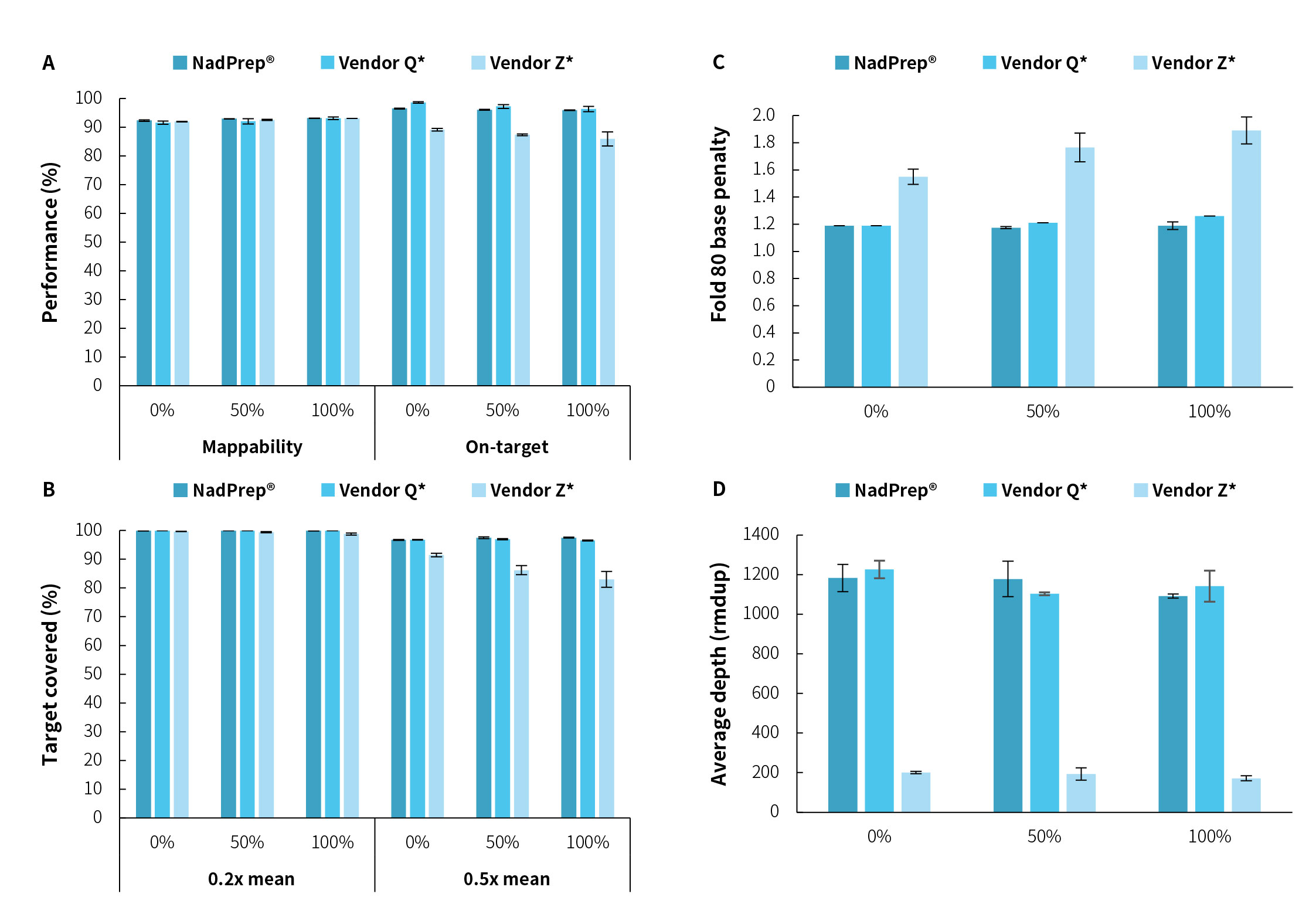
捕获表现

甲基化水平准确率

图 3. 不同甲基化水平样本的甲基化靶向测序表现。A. 理论甲基化水平与实际检测到的甲基化水平的比较;B. 靶区域 CpG 甲基化水平。
| 包装编号 | 管盖颜色 | 组分名称 |
包装体积
1002701 (24 rxn) |
包装体积
1002702 (96 rxn) |
| Box 1 |
/ |
Bisulfite Diluent | 4.5 mL | 9 mL |
|
|
Bisulfite Mix | 4×1 管 | 8×1 管 | |
|
|
Desulf Buffer | 1.8 mL | 7.5 mL | |
| Box 2 |
/ |
Nuclease Free Water | 2.5 mL | 8 mL |
|
/ |
Bisulfite Beads | 4.8 mL | 3×6.2 mL | |
|
|
DNA Protect Buffer | 100 μL | 380 μL |
转录组测序 (RNA-Seq) 文库制备一般分为常规性和链特异性两类,其核心差异在于是否在测序文库中保留转录本的方向性信息。其中,链特异性文库在制备过程中保留了转录本的方向性,测序与下游分析时可判定转录本来源于 DNA 的正义链还是反义链;而常规性文库在 cDNA 合成过程中会丢失方向性信息,测序数据无法直接区分转录方向。与常规性 RNA-Seq 相比,链特异性 RNA-Seq 更能准确地统计转录本数量,明确基因结构,同时识别反义转录本以及发现更多新转录本,因此是研究基因结构与表达调控的重要手段。总体而言,文库制备方法的选择应基于实验目的、成本预算及参考转录组的可用性等因素;若需获取转录本方向性信息,应优先选择链特异性文库。无论选择何种方案,均应严格按照试剂盒使用说明书执行相应操作以确保数据质量。
| 可能原因 | 解决方案 |
| 起始投入量不准确 | 实际其实投入量偏低,建议使用 Qubit 进行精 确定量 |
| 磁珠纯化过程中丢弃部分磁珠 | 采用涡旋混匀时,确保管盖紧闭,弃上清过程 切勿丢弃磁珠 |
| 可能原因 | 解决方案 |
| 转化后文库被未转化文库污染 | 使用带滤芯 Tips; 转化结束后及时更换新的乳胶手套,更换新的 工作台面以及新的移液器 |
| Bisulfite Reagent 易发生氧化、结晶析出,导 致亚硫酸盐溶液浓度降低,影响转化效率 | 在有效期以内使用 Bisulfite Reagent; 控制 Bisulfite Reagent 暴露在空气中的时 |
| 类别 | 产品名称 | 详情 | 货号 |
| BS 转化模块 |
NadPrep® DNA Methyl Bisulfite Conversion Module, 24 rxn |
24 rxn | 1002701 |
| NadPrep® DNA Methyl Bisulfite Conversion Module, 96 rxn | 96 rxn | 1002702 |
我们的工作人员将在1个工作日内与您取得联系。
如果有任何问题,欢迎联系
400 8717 699 或 support@njnad.com。