| Species of Cancer | Biomarker |
| Lung Cancer | SCT、HOXA7、RASSF1、SHOX2、PTGER4 |
| Colorectal Carcinoma | NDRG4、BCAT1、Septin9、BMP3、TFPI2、SDC2、SFRP2 |
| Gastric Cancer | Septin9、RNF180、TCF4、RPRM、SDC2、TERT |
| Liver Cancer | SCN4B、BDH1、HOXA10、PLAC8、BMPR1A、TEPP、SPACA6、MIXL1、TSC22D1 |
| Breast Cancer | CDO1、PITX2、GSTP1、GP5、APC |
| Carcinoma Cancer | SOX1、GALR1、DMRTA2、EVX2、SOX17、DCHS2、TWIST1、TBX5、HOXA11、SIM2、LHX2 |
| Prostatic Cancer | CCND2、CDH1、MCAM、PENK、PITX2、PTGS2、RARB、LINC02028、SLCO3A1、HES5、TPM4、FHAD1、SOX1-OT、IGFBP3、ZNF154、FEZF2、APC |
| Cervical Cancer | SOX1、PAX1、JAM3、TAFA4、ASTN1、DLX1、ITGA4、RXFP3、SOX17 |
| Ovarian Cancer | PCDHB18P、CDO1、HOXA9、LYPD5、CDH13、FOXD3、ZNF671、HOXA11、FBXO32、OPCML、BLACAT1、LRRC41、GNE、FAIM2、CAPN2、SIM2 |
Compatible with different sample types

Figure 1. Capture performance of μCaler EMS Panel v1.0 applied to gDNA and cfDNA samples. A. gDNA ; B. cfDNA; C. Fold 80 base penalty;D. CpG total depth of
target regions (deduplicated). Samples were used to prepare pre-library using the NadPrep Methyl Library Preparation Module, with gDNA undergoing conversion
using NadPrep DNA Methyl Bisulfite Conversion Module (BS), and cfDNA undergoing conversion using both BS and enzymatic (EM) methods. 500 ng/pre-library was
inputted, and hybrid capture was performed using μCaler Hybrid Capture Reagents v2 and μCaler EMS Panel v1.0.
Note: gDNA samples refer to Human Genomic DNA standard (Promega, G1471), with an input of 50 ng; cfDNA samples refer to plasma cfDNA, with an input of 20 ng.

Figure 2. Capture performance of μCaler EMS Panel v1.0 applied to different grades of FFPE samples. A. Capture performance; B. Fold 80 base penalty. Pre-library were prepared using the NadPrep Methyl Library Preparation Module, followed by conversion using the NadPrep DNA Methyl Bisulfite Conversion Module.
500 ng of pre-library was inputted, and hybrid capture was performed using μCaler Hybrid Capture Reagents v2 and μCaler EMS Panel v1.0.
Note: FFPE samples were clinical lung cancer samples, input 50 ng. Sample grading criteria: FFPE B: Main bands around 15 Kb with moderate smearing; FFPE C:
Bands primarily distributed between 200-2500 bp, appearing diffuse; FFPE D: Bands mainly distributed between 100-1000 bp, appearing diffuse.
Clinical Sample Detection Performance
Colorectal Cancer

Figure 4. Methylation level detection of μCaler EMS Panel v1.0 applied to clinical colorectal
cancer and peritumoral tissue samples. A. CpG methylation level in paired colorectal cancer
samples; B. CpG methylation level of colorectal cancer candidate biomarkers
in real samples.
Note: CRC: Colorectal Cancer; Pt: Peritumoral tissue.
Ovarian Cancer

Figure 5. The methylation level detection of μCaler EMS Panel v1.0 applied to clinical
ovarian cancer and peritumoral tissue. A. CpG methylation level in paired ovarian
cancer samples; B. CpG methylation level of ovarian cancer candidate
biomarkers in real samples.
Note: OVCA: Ovarian Cancer; Pt: Peritumoral tissue.
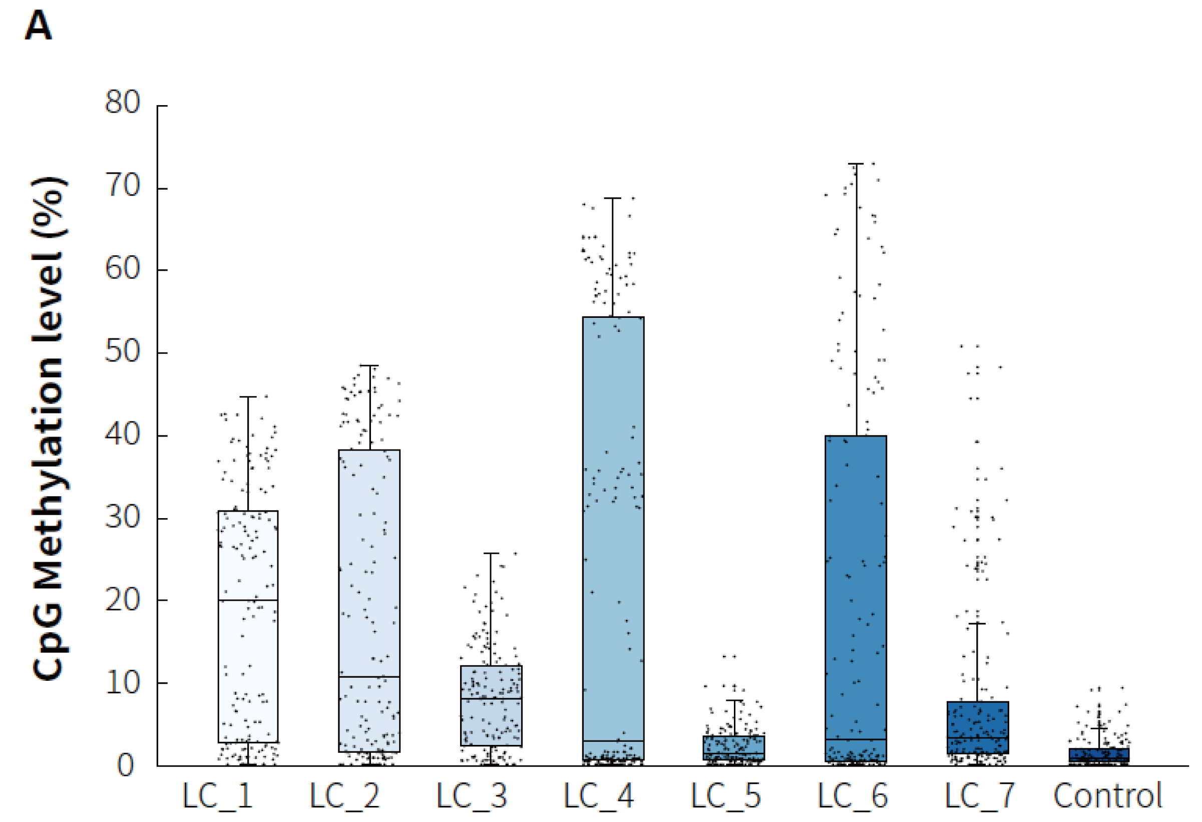
Lung Cancer
|
Catalog |
Color Of Tube Cap |
Product |
Volume |
Package/Storage |
|
1101502 |
|
μCaler EMS Panel v1.0, 16 rxn |
40 μL |
-25~-15℃ |
|
1101501 |
|
μCaler EMS Panel v1.0, 96 rxn |
210 μL |
-25~-15℃ |
|
Product |
Catalog# |
|
μCaler EMS Panel v1.0, 16 rxn |
1101502 |
|
μCaler EMS Panel v1.0, 96 rxn |
1101501 |
Nanodigmbio will contact you within 1 day.
If there are any problems, please contact us by 400 8717 699 / support@njnad.com