NadPrep rRNA Blocking Reagent is a specialized processing module developed for high-throughput sequencing platforms to rapidly block rRNA in total RNA. This kit-series offer both commercial and customized solutions, supporting species-specific designs. It is suitable for total RNA with initial input amounts ranging from 50-500 ng, sourced from cells, tissues, and FFPE samples. If you require a customized design for a specific species, please contact us at (support@njnad.com) for professional, personal advice.
Simple and Convenient
Fast and Efficient
Flexible Compatibility
Workflow
Performance
Compatible with Different Input Amounts for Various Sample Types
Compatible with Different Grades of FFPE Samples
Compatible with Third-party RNA Library Preparation Kits
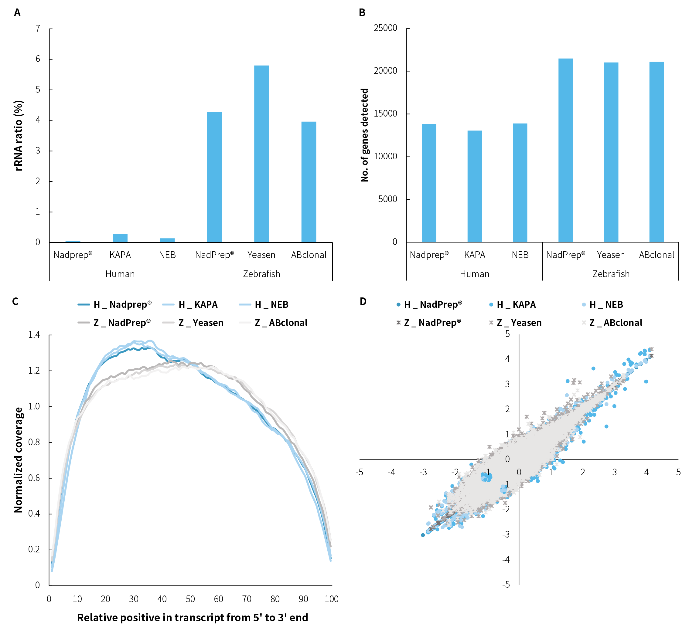
Figure 4. Performance of NadPrep rRNA Rapid Blocking Comprehensive Solution (Human) in combination with third-party RNA library preparation kits. A. rRNA ratio; B. No. of genes detected; C. Transcript coverage; D. Expression profile correlation. A total of 250 ng of K562 cell line RNA were processed using NadPrep rRNA Blocking Reagent in conjunction with NadPrep Total RNA-To-DNA Module, followed by library preparation using NadPrep DNA Library Preparation Kit-series, KAPA and NEB RNA Library Prep Kits. A total of 50 ng of zebrafish RNA was processed using NadPrep rRNA Blocking Reagent (Zebrafish) in conjunction with NadPrep Total RNA-To-DNA Module, followed by library preparation using NadPrep DNA Library Preparation Kit-series, Yeasen and ABclonal RNA Library Prep Kits.
Note: H: Human; Z: Zebrafish.
Compatible with MGI and Illumina Sequencing Platforms
Figure 5. Performance of NadPrep rRNA Fast Blocking Comprehensive Solution (Human) on dual sequencing platforms. A. rRNA ratio; B. No. of genes detected. With an input of 250 ng, libraries were prepared using NadPrep rRNA Fast Blocking Comprehensive Solution connected to NadPrep DNA Library Preparation Kit-series, coupled with NadPrep Universal Stubby Adapter (UDI) Module and NadPrep Universal Adapter (MDI) Module respectively. Sequencing platform: DNBSEQ-T7 and Illumina Novaseq 6000, PE150.
Competitive Comparison
Figure 6. Performance comparison between NadPrep rRNA Fast Blocking Comprehensive Solution and competitors. A. rRNA ratio; B. No. of genes detected; C. Transcript coverage; D. Expression profile correlation. With an input of 250 ng, libraries were prepared using NadPrep rRNA Blocking Reagent, Vendor A, and Vendor B in combination with NadPrep Total RNA-To-DNA Module.
Note: Vendor A refers to the rapid removal method, and Vendor B refers to the RNase H enzymatic method. C & D are shown only with the cell line (K562 RNA).
For research use only. Not for use in diagnostic procedures.
RNA-To-DNA Module
/
/
Package
Color of Cap Tube
Component
Volume
1002401 (24 rxn)
Volume
1002402 (96 rxn)
Box1
1st Strand Synth.
Buffer
120 µL
460 µL
Random Primer
30 µL
115 µL
1st Strand Synth.
Enzyme
60 µL
230 µL
2nd Strand Synth.
Buffer
810 µL
2×1550 µL
2nd Strand Synth.
Enzyme
90 µL
345 µL
Nuclease Free Water
2.5 mL
8 mL
Box2
NadPrep SP Beads
2.5 mL
10 mL
rRNA Blocking Reagent (Human)
Volume
1002901 (24 rxn)
Volume
1002902 (96 rxn)
Color of Cap Tube
Component
rRNA Blocking Reagent (Human)
30 µL
115 µL
rRNA Blocking Reagent (Zebrafish)
| Color of Cap Tube | Component |
Volume 1002911 (24 rxn) |
Volume 1002912 (96 rxn) |
| rRNA Blocking Reagent (Zebrafish) | 30 µL | 115 µL |
|
Type |
Product |
Detail |
Catalog# |
|
rRNA Fast Blocking Module |
NadPrep rRNA Blocking Reagent (Human), 24 rxn |
24 rxn |
1002901 |
|
NadPrep rRNA Blocking Reagent (Human), 96 rxn |
96 rxn |
1002902 |
|
|
NadPrep rRNA Blocking Reagent (Zebrafish), 24 rxn |
24 rxn |
1002911 |
|
|
NadPrep rRNA Blocking Reagent (Zebrafish), 96 rxn |
96 rxn |
1002912 |
|
|
Total RNA-To-DNA Module |
Nadprep Total RNA-To-DNA Module, 24 rxn |
24 rxn |
1002401 |
|
Nadprep Total RNA-To-DNA Module, 96 rxn |
96 rxn |
1002402 |
Nanodigmbio will contact you within 1 day.
If there are any problems, please contact us by 400 8717 699 / support@njnad.com