公司新闻

告别两难:杂交捕获的实验效率 vs 性能指标的平衡术

浏览量:149 / 发布时间:2026-03-23

1. 应用背景

近年来,快速杂交捕获方案推动靶向测序迈入“单日内上机”的快节奏时代,同时也引发了不同应用领域对效率与性能平衡的深入思考。单纯压缩杂交时间虽可提升速度,却可能以牺牲捕获性能为代价,进而导致脱靶增加、低覆盖区域漏检及捕获文库产出不足,难以满足上机测序或下游分析要求。因此,真正的实验效率并非单一维度的时间缩短,而应实现速度与质量的协同优化——既要捕得快,更要捕得多,还要捕得均一。正如“木桶效应”所示,只有在中靶率与覆盖均一性均达到较高水平时,才能充分提升数据利用率,避免测序资源浪费。

与此同时,现有快速杂交捕获流程中仍存在诸多现实挑战,如温度条件敏感、洗脱步骤繁琐、对操作人员经验性依赖高以及自动化兼容性不足等,这些因素在一定程度上制约了实验流程的标准化与规模化应用。随着靶向测序应用场景的不断拓展,用户亟需一种兼具灵活性与通用性的解决方案——既可满足小批量样本的高效处理,又能支持高通量规模化测序,并适配不同类型及规模的捕获探针,从而简化决策流程、保障结果稳定可靠,同时进一步降低整体的测序成本。

基于此,纳昂达针对 120 nt 探针的杂交捕获体系进行了全面优化升级,推出 NadPrep® ES Hybrid Capture Reagents v2,其在实现快速杂交流程、显著缩短实验周期的同时,兼容多种捕获探针与应用场景,能够在提升实验通量的基础上,持续保持稳定可靠的捕获性能与数据质量,从而有效实现实验效率与捕获性能的协同优化。


2. 产品简介

NadPrep® ES Hybrid Capture Reagents v2 是针对纳昂达 120 nt Probes/Panels 靶向捕获全面升级优化的快速杂交洗脱试剂盒,以 NadPrep® NanoBlockers 系列120 nt NAD Panels/Probes 系列构成完整的液相杂交捕获体系,支持针对不同大小 Panel 通过调整杂交时间以优化捕获性能,能够在 1-16 hr 的杂交时间和 1-12 plex 的混合文库中灵活选择。

3. 产品特色

 体系精简:仅需 1 种杂交预混液 + 1 种洗脱 Buffer,显著减少试剂准备步骤,降低操作失误风险,自动化更友好。

条件统一:仅涉及 2 种孵育温度,避免频繁更换程序温度设定,使实验流程更加顺畅,并便于规模化应用。

步骤优化:采用 2 步磁珠清洗 + 3 步热洗脱 + 1 步乙醇洗脱的流程设计,在保证效果的同时大幅度提升实验效率。

灵活兼容:支持 1-16 hr 杂交时间和 1-12 plex 混合文库灵活选择,可根据实际需求进行调整,以获得更优的捕获效果。

稳定复现:实验流程标准化程度高,减少对操作者经验的依赖,不同实验人员均可获得稳定一致的捕获结果。

全面提升:有效提升捕获文库产出、靶区域覆盖度及覆盖均一性,同时降低 GC 偏好性,避免返工,从而节省测序成本。


图 1_流程图

图 1. 不同杂交捕获试剂的操作流程及耗时对比。

4. 产品表现

4.1 多维捕获性能不妥协:v2_1 hr 快速杂交媲美 v1_16 hr 过夜杂交

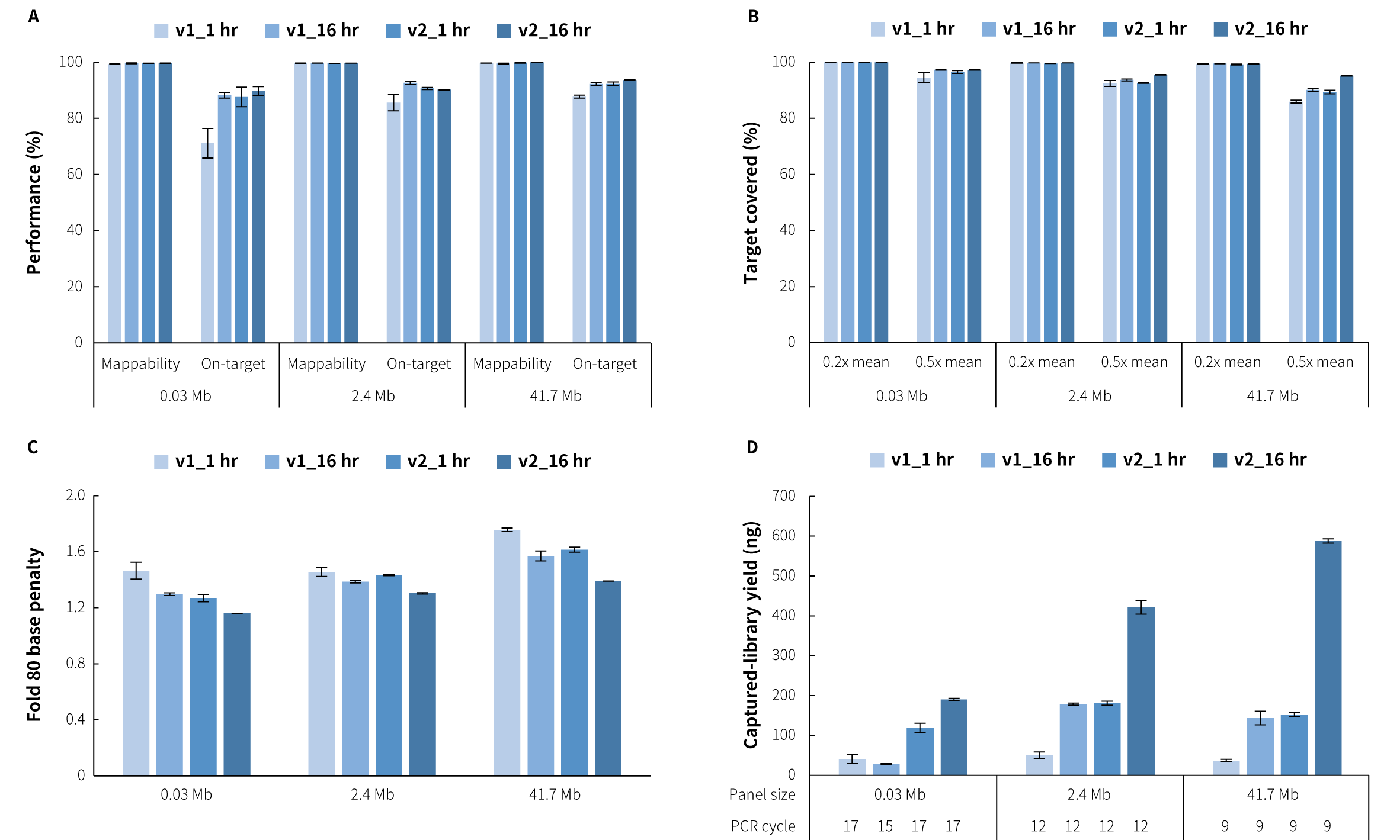
NadPrep® 快速杂交捕获试剂 v2 (NadPrep® ES Hybrid Capture Reagents v2) 支持在 1-16 hr 的杂交时间范围内灵活选择,用户可通过调节杂交时间以实现捕获性能的优化。为全面评估该升级版快速杂交捕获试剂的性能表现,我们对 NadPrep® ES v1 (v1) 与 NadPrep® ES v2 (v2) 在三款不同大小 Panel (0.03 Mb、2.4 Mb 和 41.7 Mb) 上的表现进行了系统比较,并分别在 1 hr 与 16 hr 杂交条件下评估多项关键捕获参数。

结果如图 2 所示,无论是小 Panel 还是大 Panel,v2 在仅 1 hr 杂交条件下获得的中靶率 (图 2. A)、0.2x 与 0.5x 平均覆盖深度比例 (图 2. B)、Fold 80 碱基罚分 (图 2. C) 以及捕获产出 (图 2. D),均与 v1 在 16 hr 杂交条件下的表现基本相当。由此可见,v2 在显著缩短杂交时间的同时,并未牺牲各项关键性能指标,实现了 v2_1 hr 快速杂交媲美 v1_16 hr 过夜杂交,有效兼顾了实验效率与捕获性能的优化。

此外,在 16 hr 过夜杂交条件下,v2 的捕获产出相较于 1 hr 条件进一步显著提升,其他性能指标亦有小幅优化,体现出其在不同实验需求下的良好灵活性与稳定表现。



图 2-横_画板 1

图 2. NadPrep® 快速杂交捕获试剂 v1 & v2 不同杂交时间的捕获表现利用 NadPrep® EZ DNA Library Preparation Module v3 搭配 NadPrep® Universal Stubby Adapter (UDI) Module 进行预文库构建,500 ng/预文库投入杂交,分别以不同大小 Panel 和 NadPrep® ES Hybrid Capture Reagents v1 & v2 完成捕获,测序模式为 NovaSeq 6000,PE150。每个样本随机选取适量数据用于分析,按照 total reads 计算。A. 比对率 & 中靶率;B. 靶区域覆盖度;C. Fold 80 base penalty;D. 捕获文库产出。
注:样本为人类基因组 DNA 标准品 (Promega, G1471; Coriell, NA12878),起始投入量为 50 ng。


4.2 不同大小 Panel 全面适配,稳定表现始终如一

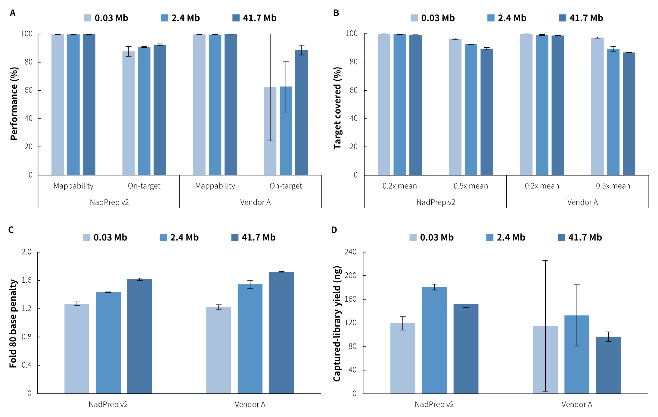
NadPrep® 快速杂交捕获试剂 v2 是针对纳昂达 120 nt Probes/Panels 靶向捕获全面升级优化的快速杂交洗脱试剂盒。为系统评估不同供应商试剂的性能表现,我们同样选取了三款不同大小的 Panel,并分别按 2 款快速杂交捕获试剂 (NadPrep v2 和 Vendor A) 的使用说明书及其推荐的 1 hr 杂交条件进行实验操作,对多维性能指标进行了比较分析。

结果如图 3 所示,无论是大 Panel 还是小 Panel,纳昂达 NadPrep v2 在比对率 (图 3. A)、靶区域覆盖度 (图 3. B) 以及 Fold 80 碱基罚分 (图 3. C) 方面与 Vendor A 基本相当;同时,在中靶率 (图 3. A) 和捕获文库产出 (图 3. D) 方面则表现出明显优势,且在中小 Panel (0.03 Mb & 2.4 Mb) 中的优势更加突出。由此可见,相较于 Vendor ANadPrep v2 在不同规模 Panel 的应用中展现出更优的适配性与稳定性,不仅能够有效提升实验成功率,还有助于提高数据利用率并降低整体测序成本




官网新闻图片-横板-02

图 3. NadPrep® 快速杂交捕获试剂 v2 对不同大小 Panel 的捕获表现利用 NadPrep® 快速 DNA 酶切文库构建试剂盒 v3 进行预文库构建,500 ng/预文库投入杂交,分别以不同大小 Panel 和 NadPrep v2 及 Vendor A 完成捕获。A. 比对率 & 中靶率;B. 靶区域覆盖度;C. Fold 80 base penalty;D. 捕获文库产出。


4.3 支持在不同测序平台的多文库混合杂交

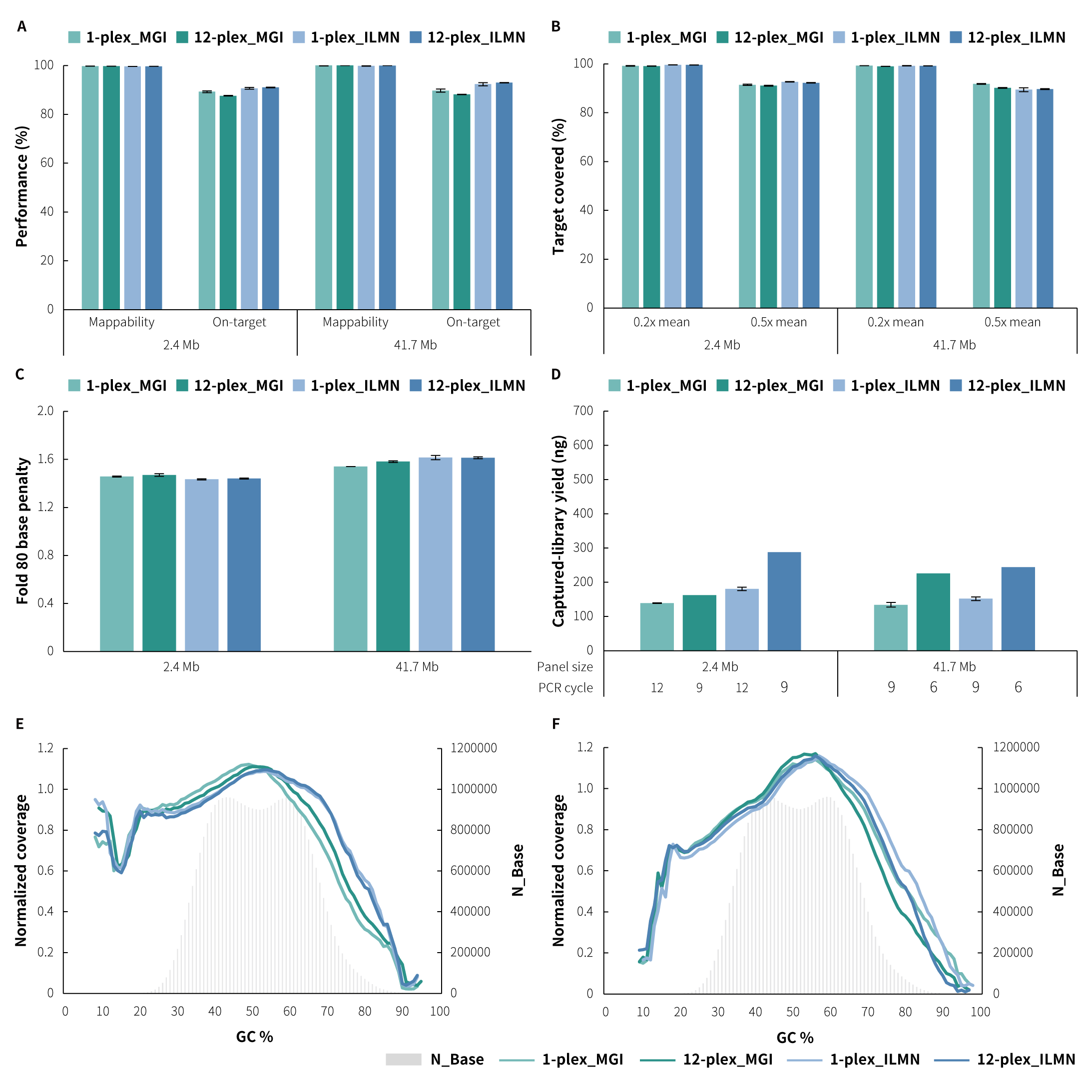
NadPrep® 快速杂交捕获试剂 v2 具备灵活的杂交捕获体系,不仅兼容主流测序平台,还支持 500 ng/单文库 (1- plex) 及最高 6,000 ng/12 文库 (12-Plex) 的混合杂交模式。为全面评估该升级版快速杂交捕获试剂在不同测序平台及不同杂交模式下的性能表现,我们选取了典型应用场景中的 2 款 Panel [实体瘤大 Panel:NanOnco Plus Panel v3.0 (2.4 Mb) 和全外显子组 Panel:NEXome Core Panel (41.Mb)],对多维性能指标进行了系统比较分析。

结果如图 4 所示,两款 Panel 在双测序平台上的比对率、中靶率、靶区域覆盖度、Fold 80 碱基罚分以及捕获文库产出等指标整体表现一致 (图 4. A-D);受不同测序原理的影响,DNBSEQ 在高 GC 区域的覆盖度略低于 NovaSeq (图 4. E & F),但整体结果符合预期。此外,不同杂交模式下各项性能指标亦保持高度一致,多重混合杂交模式在有效降低实验成本的同时,仍可保证数据质量,从而进一步提升检测通量并节省测序成本。


官网新闻图片-横板-03

图 4. NadPrep® 快速杂交捕获试剂 v2 对不同混合文库杂交的捕获表现利用 NadPrep® EZ DNA Library Preparation Module v3 搭配 NadPrep快速 DNA 酶切文库构建试剂盒 v3 进行预文库构建,分别以 500 ng/单文库 (1-plex) 和 6,000 ng/12 文库 (12-plex) 投入杂交,以不同大小 Panel 和 NadPrep v2 完成捕获,测序模式分别为 NovaSeq 6000 和 DNBSEQ-T7,PE150 Universal Stubby Adapter (UDI) Module 进行预文库构建,500 ng/预文库投入杂交,分别以不同大小 Panel 和 NadPrep® ES Hybrid Capture Reagents v1 & v2 完成捕获,测序模式为 NovaSeq 6000,PE150。每个样本随机选取适量数据用于分析,按照 total reads 计算。A. 比对率 & 中靶率;B. 靶区域覆盖度;C. Fold 80 base penalty;D. 捕获文库产出;E. GC 偏好性 (2.4 Mb,杂交 1 hr)F. GC 偏好性 (41.7 Mb,杂交 1 hr)


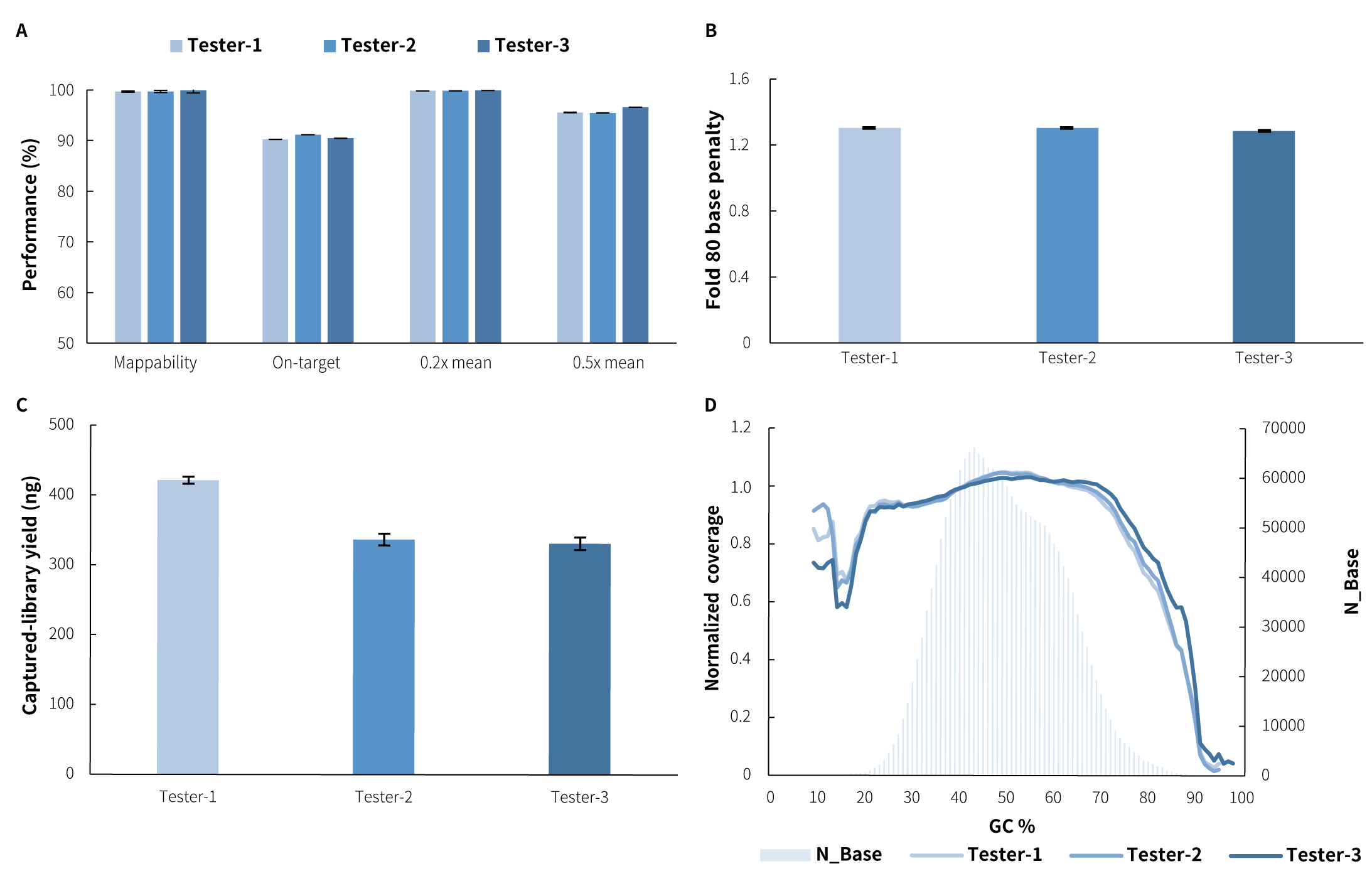
4.4 告别经验依赖:操作友好,结果稳定重现

NadPrep® 快速杂交捕获试剂 v2 仅采用 1 种杂交预混液和 1 种洗脱 Buffer,进一步精简了操作步骤,使整套杂交捕获流程更加流畅且易于标准化,从而降低对操作者经验的依赖,并有助于保障捕获结果的稳定性。图 5 展示了三位具有不同实验基础的操作人员,使用 NanOnco Plus Panel v3.0 结合升级版快速杂交捕获试剂独立完成实验的结果。结果显示,三组数据在各项捕获性能指标上表现出高度一致性,批间差异较小,充分表明了 NadPrep v2 具有低操作者经验依赖批间稳定性高结果可稳定复现的优势,有望成为可靠且易于推广应用的杂交捕获解决方案


官网新闻图片-横板-图5-2

图 5. NadPrep® 快速杂交捕获试剂 v2 经不同人员操作的捕获表现A. 比对率 & 中靶率;B. 靶区域覆盖度;C. Fold 80 base penalty;D. GC 偏好性。
注:样本为样本为人类基因组 DNA 标准品 (Promega, G1471)。500 ng/预文库投入杂交 (16 hr)。


4.5 稳定检出多种类型变异

得益于生物素修饰探针对靶序列具有一定的错配容忍能力,并能够对邻近区域产生连带捕获效应,因此,液相杂交捕获测序可对 SNV、InDel、CNV、SV 及基因融合等多种类型的变异进行准确且高灵敏度的检测。作为一种兼具成本效益、稳定性与良好重复性的研究策略,液相杂交捕获技术在遗传突变检测、肿瘤筛查、个体化用药决策以及感染性疾病检测等多个领域均具有重要应用价值。

我们采用 LungCancer Panel v1.0 结合 NadPrep v2、v1 以及 Vendor A,对一款包含多种已知突变频率的标准品进行了突变检出率和检测准确性的评估。结果显示,在杂交 1 hr 条件下,不同杂交捕获试剂均可 100% 检出标准品中的已知变异,体现出良好的检测灵敏度。进一步对比发现,相较于 Vendor A,NadPrep v2 在多个位点的突变频率及拷贝数检测结果与标准品参考值更接近,显示出更高的检测可靠性 (图 6)。

图 6_画板 1

图 6. NadPrep® 快速杂交捕获试剂 v2捕获结果数据中变异频率与标准品标称频率的一致性展示利用 NadPrep® 快速 DNA 酶切文库构建试剂盒 v3 进行预文库构建,500 ng/预文库投入杂交,分别以 LungCancer Panel v1.0 和 NadPrep v2 & v1 以及 Vendor A 完成捕获,Vardict 进行变异分析.
注:样本为泛肿瘤 800 gDNA 标准品 (菁良,GW-OGTM800),起始投入量为 50 ng。


5. 总结与展望

NadPrep® 快速杂交捕获试剂 v2 通过对杂交与洗脱体系的全面优化,在显著缩短杂交时间的同时,实现了捕获性能与实验效率的有效平衡。无论是在不同规模 Panel、不同测序平台,还是多重混合杂交模式下,均表现出稳定一致的中靶率、覆盖均一性及捕获文库产出,充分验证了其优异的体系兼容性与性能稳定性。同时,简化的试剂体系与操作流程有效降低了对操作者经验的依赖,使实验更易标准化与规模化开展。在已知变异的标准品验证中,NadPrep® 快速杂交捕获试剂 v2 不仅实现了突变的高灵敏检出,还在多个位点的突变频率与拷贝数检测结果上更接近参考值,进一步体现了其在检测准确性方面的优势

展望未来,随着精准医疗与公共卫生监测对检测时效性、通量及数据质量要求的持续提升,兼具“快速、高效与高质量”的靶向捕获解决方案将成为发展趋势。NadPrep® 快速杂交捕获试剂 v2 有望在肿瘤精准诊疗、感染性疾病检测及大规模人群筛查等应用场景中发挥更大价值,为高通量测序技术的高效落地与临床转化提供有力支撑.